АМИНОГАЛОГЕНАНТРАХИНОНЫ, кристаллы (см. табл.) от оранжевого до темно-красного цвета; не раств. в воде, раств. в хлороформе, нитробензоле, ДМФА, конц. H2SO4, плохо - в спирте. В видимой области спектра имеют одну полосу поглощения при 430-505 нм.
https://www.pora.ru/image/encyclopedia/9/7/1/1971.jpeg

Атомы галогена в А. способны легко замещаться на амино- и меркаптогруппы, арильные группы по Ульману, как правило, в присут. Си и ее солей. Эти р-ции широко используют в пром-сти для получения красителей. Так, 1-амино-2,4-дибромантрахинон или 1-метиламино-4-бромантрахинон с n-толуидином при 110-120°C в присут. СН3СООК и (CH3COO)2Cu образуют соотв. 1-амино-2-бром-4-n-толуидиноантрахинон (ф-ла II; R = Н), сульфированием к-рого получают голубой кислотный краситель, и 1-метиламино-4-n-толуидиноантрахинон (II; R = CH3) - дисперсный синий краситель.

ТЕМПЕРАТУРЫ ПЛАВЛЕНИЯ И МОЛЕКУЛЯРНЫЕ МАССЫ АМИНОГАЛОГЕНАНТРАХИНОНОВ

Заместитель и его положение в ядре антрахинона (ф-ла F)
Мол. M.
Т. пл., °C
NHR
Hal
1-NH2
2-C1
256,67
197
1-NH2
4-Cl
256,67
180
1-NH2
5-Cl
256,67
219
2-NH2
1-Cl
256,67
237
2-NH2
3-Cl
256,67
311
1-NH2
2-Br
302,13
182
1-NH2
2-Br, 4-Br
381,04
226
2-NH2
1-Br, 3-Br
381,04
249
2-NH2
1-Br, 3-CI
336,58
212
1-CH3NH
4-Br
316,16
194

https://www.pora.ru/image/encyclopedia/9/7/2/1972.jpeg

1 - Метиламине - 4 - бромантрахинон используют также для произ-ва 3-метил-6-бромантрапиридона - сырья в произ-ве красных и фиолетовых красителей для синтетич. волокон (см. также Полициклические кубовые красители).

2 - Амино -1,3 - дибромантрахинон или 2-амино-1-бром-3-хлорантрахинон в среде нитробензола в присут. Си при 180-200°С подвергаются межмол. ара-минированию с образованием соотв. дибром- или дихлориндантрона - кубовых красителей голубого цвета (III).

Моногалогенаминоанттрахиноны обычно способны к дальнейшему галогенированию, напр. 1-амино-2-хлор- и 1-амино-2-бромантрахиноны при взаимод. с Вг2 в разбавленной H2SO4 образуют 1-амино-2-хлор-4-бромантрахинон и 1-амино-2,4-дибромантрахинон - исходные продукты в синтезе синих, фиолетовых и розовых кислотных и дисперсных красителей.

1-Амино-5-хлорантрахинон реагирует с бензоилхлоридом, превращаясь в 1-бензоиламино-5-хлорантрахинон-сырье для получения антрамидов и кубовых красителей на их основе.

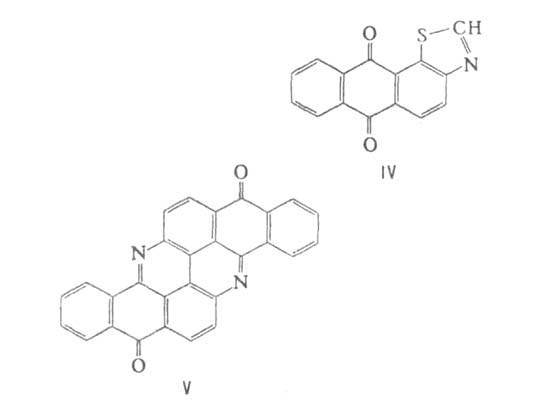
2-Амино-1-хлорантрахинон при взаимод. с Na2S образует 1-меркапто-2-аминоантрахинон - исходный продукт для получения желтых кубовых красителей, являющихся производными антрахинонтиазола (ф-ла IV), а 2-ацетиламино-1-хлорантрахинон в присут. Си в среде трихлорбензола при 180oC конденсируется с образованием 2,2'-диацетиламино-1,1'-диантрахинонила, к-рый после одновременного омыления и циклизации в конц. H2SO4 превращ. в флавантрон (V) - желтый кубовый краситель и пигмент в полиграфии.
https://www.pora.ru/image/encyclopedia/9/7/3/1973.jpeg

В пром-сти 1-амино-2-хлор-, 2-амино-1-хлор-, 1-амино-2-бром-, 1-амино-2,4-дибром-, 2-амино-1,3-дибром- и 1-метиламино-4-бромантрахиноны получают галогенированием в H2SO4 соответствующих аминоантрахинонов, а 2-амино-1-бром-3-хлорантрахинон - бромированием 2-амино-З-хлоран-трахинона. Последний получают циклизацией З-амино-4-хлорбензофенон-2'-карбоновой к-ты (VI) в среде H2SO4; побочно образуется 1-амино-2-хлорантрахинон; амины разделяют дробным осаждением.
https://www.pora.ru/image/encyclopedia/9/7/4/1974.jpeg

1-Амино-4-хлорантрахинон получают хлорированием 1-бензоиламиноантрахинона с послед. гидролизом образовавшегося 1-бензоиламино-4-хлорантрахинона (промежут. продукт при получении кубовых красителей) в конц. H2SO4; 1 -амино-5-хлорантрахинон - восстановлением 1 -нитро-5-хлорантрахинона кипячением в водном р-ре Na2S.

Лит.: Ворожцов Н. Н., Основы синтеза промежуточных продуктов и красителей, 4 изд., М., 1955; Эфрос Л. С., Горелик М. В., Химия и технология промежуточных продуктов, Л., 1980. С. И. Попов.