АНИОННАЯ ПОЛИМЕРИЗАЦИЯ, ионная полимеризация, при к-рой концевое звено растущей цепи несет полный или частичный отрицат. заряд. Традиционно к А. п. относят процессы, инициируемые соед. щелочных или щел.-зем. металлов (либо своб. анионами). Процессы, развивающиеся с участием переходных металлов, относят обычно, независимо от характера поляризации связи металл-углерод, к координационно-ионной полимеризации.

К А. п. способно большинство известных мономеров, напр. ненасыщенные соед., содержащие в ос-положений электроноакцепторные группы (—СН=СН2, —С6Н5, —COOR, —CN, —NO2 и др.), карбонильные соед.,https://www.pora.ru/image/encyclopedia/2/7/1/2271.jpegоксиды, тиооксиды, лактоны, лактамы, силоксаны и др. гетероциклич. соединения. Инициируется А.п. сильными основаниями, донорами электронов, электрич. током и ионизирующими излучениями. Соед. щелочных и щел.-зем. металлов (напр., орг. производные, алкоголяты, амиды) и др. в-ва основного характера инициируют А.п. по типу кислотно-основного взаимод. (присоединение к мономеру М инициатора АВ или его фрагмента А-):

https://www.pora.ru/image/encyclopedia/2/7/2/2272.jpeg

Своб. металлы, их ион-радикальные соли (напр., нафталинид Na) и др. сильные доноры электронов действуют по типу окисления-восстановления (перенос электрона к мономеру; Me-металл):

https://www.pora.ru/image/encyclopedia/2/7/3/2273.jpeg

Процессы типа (1) характерны также для электрохим. и радиационно-хим. инициирования. В инициировании по типу (1) участвуют промежут. ион-радикальные частицы (М-), рекомбинация к-рых приводит к образованию молекул с активными центрами на обоих концах:https://www.pora.ru/image/encyclopedia/2/7/4/2274.jpeg В принципе, при таком механизме возможно параллельное развитие анионных и радикальных р-ций, однако в реально изученных системах случаи с заметным участием последних не обнаружены.

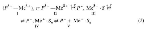
Активные центры А. п. в подавляющем большинстве случаев инициирования щелочными, щел.-зем. металлами или их соединениями представляют собой производные этих металлов. В зависимости от природы концевого мономерного звена (Р), противоиона (Me+) и р-рителя (S)активные центры могут существовать в виде различающихся по реакц. способности и стереоспецифичности ковалентных поляризованных молекул (ф-ла II), их ассоциатов (I), ионных пар разной степени сольватации (III, IV), своб. анионов Р (V):
https://www.pora.ru/image/encyclopedia/2/7/5/2275.jpeg

Как правило, противоион входит в состав активного центра и тем самым оказывает непосредств. воздействие на акты роста цепи (исключение - полимеризация на своб. анионах). В предельном случае присоединению мономера к растущей цепи может предшествовать образование координац. комплекса с противоионом (координационноионный механизм). Это создает большие возможности направленного воздействия на полимеризацию и св-ва образующихся полимеров, чем в случае процессов с участием "своб." частиц (своб. радикалов, анионов и катионов).

Для А. п. характерна, как правило, относит. стабильность активных центров. В ряде случаев, напр. при А. п. неполярных мономеров в углеводородных р-рителях, суммарный процесс включает практически лишь стадии инициирования и роста цепи (р-ции обрыва и передачи цепи отсутствуют или идут с очень малыми скоростями). При этом образуются т. наз. живущие полимеры, концевые группы к-рых сохраняют способность к присоединению мономера или др. реагентов и после завершения полимеризации. Такие полимеры - удобный объект как для исследования механизма А. п., так и для решения разл. синтетич. задач: получения полимеров с заданным ММР, в т.ч. практически монодисперсных; синтеза полимеров и олигомеров с концевыми функц. группами, способными к дальнейшим превращ. поликонденсац. или полимеризац. типа, а также блоксополимеров, привитых сополимеров и разл. полимеров с регулируемым типом разветвления и др.

А. п. мономеров с полярными функц. группами - более сложный процесс, сопровождающийся дезактивацией активных центров при взаимод. с функц. группами мономера и полимера. Энергия активации побочных р-ций (как и передачи цепи на р-ритель в случае в-в с подвижным атомом Н, напр. толуола), как правило, выше, чем энергия активации роста цепи; поэтому понижение т-ры полимеризации способствует обычно подавлению побочных р-ций.

Скорость А. п., особенно при умеренных т-рах, в большинстве случаев значительно выше скорости радикальной полимеризации. Это обычно связано с более высокой действующей концентрацией активных частиц (в пределе она м.б. равна исходной концентрации инициатора). Собственная же реакц. способность разл. форм активных центров варьирует в очень широких пределах даже для одного и того же мономера. Напр., для А. п. стирола при 30 °С порядок величины абс. константы скорости роста цепи (в л/моль*с) при переходе вдоль равновесий (2) изменяется от 10-1 (литиевые ассоциаты, II) до 105 (своб. анионы, V).

Общая кинетич. картина А. п. существенно осложнена упомянутой выше множественностью форм существования активных центров. Помимо указанных в ур-ниях (2), в ряде процессов играют роль и более сложные образования, напр. ионные тройники типа Р -, Me+, Р- . Поэтому даже в случае живущих полимеров при быстрой стадии инициирования, когда суммарная концентрация растущих цепей равна исходной концентрации инициатора (с0), общая скорость р-ции роста цепи (Vp)далеко не всегда описывается простым ур-нием: Vp = kpc0 [Ml, где kp - константа скорости р-ции. Часто наблюдаются более сложные зависимости общего вида:
https://www.pora.ru/image/encyclopedia/2/7/6/2276.jpeg

i* и kрi|-концентрация и константа скорости роста i-того активного центра), учитывающие вклад разл. форм активных центров; при этом суммарный порядок р-ции по инициатору варьирует от 1 до 0, а порядок по мономеру равен в большинстве случаев 1. Наиб. важные частные случаи ур-ния (3):
https://www.pora.ru/image/encyclopedia/2/7/7/2277.jpeg

(рост на мономерной форме активных центров при концентрац. преобладании малоактивных n-мерных ассоциатов; Касс-константа ассоциации) и
https://www.pora.ru/image/encyclopedia/2/7/8/2278.jpeg

(одноврем. рост на своб. ионах и ионных парах при концентрац. преобладании последних; Kдисс - константа диссоциации активных центров на ионы).

Для строгой интерпретации кинетич. данных и расчета абс. значений элементарных констант необходимо независимое определение Касс, Kдисc и констант др. равновесий типа (2). В ряде случаев это можно осуществить с помощью спектральных, кондуктометрич. и др. измерений, однако в целом А.п. количественно значительно менее изучена, чем, напр., радикальная полимеризация.

Участие противоиона в актах роста цепи обусловливает большие возможности воздействия на микроструктуру полимера, вплоть до образования в нек-рых случаях стереорегулярных и оптически активных полимеров. В наиб. степени ориентирующее влияние противоиона проявляется в углеводородной среде, где в присут. Li, наиб. стереоспецифичного из щелочных металлов, образуются 1,4-полидиены (с преобладанием цис-структуры в случае изопрена или с равным содержанием цис- и транс-структур в случае бутадиена) и изотактич. полиметилметакрилат. Среди щел.-зем. металлов образованию цис-1,4-полидиенов и изотактич. полиметилметакрилата в наиб. степени способствует Ва. Электронодонорные соед., насыщающие координац. сферу противоиона, благоприятствуют 1,2(3,4)-присоединению диенов и образованию синдиотактич. полиметилметакрилата.

В пром-сти А. п. применяют гл. обр. для синтеза эластомерных материалов (непрерывной полимеризацией в р-ре, преим. на литиевых инициаторах)- 1,4- и 1,2-полибутадиена, статистич. сополимера бутадиена со стиролом, бутадиенстирольного термоэластопласта; объем произ-ва этих полимеров составляет ок. 1 млн. т/год. Методами А. п. синтезируют также олигомеры бутадиена с концевыми функц. группами, полиhttps://www.pora.ru/image/encyclopedia/2/7/9/2279.jpegкапроамид, полиэтиленоксид, полиформальдегид, полисилоксаны и др. Осн. достоинства А. п.-легкость управления, возможность получения почти всех перечисленных гомо- и сополимеров бутадиена на одном и том же оборудовании при миним. изменениях технол. процесса, наличие долгоживущих активных центров, высокая чистота получаемых продуктов.

Систематич. изучение А. п. ненасыщенных соед. началось в 20-х гг. 20 в. (С. В. Лебедев, К. Циглер). Работы по теории А. п. и ее практич. реализации особенно интенсивно стали развиваться с сер. 50-х гг., когда была открыта способность Li вызывать образование цис-1,4-полиизопрена, близкого по структуре и св-вам к НК, и были в полной мере осознаны синтетич. возможности живущих полимеров.

Лит.: Шварц М., Анионная полимеризация, пер. с англ., М., 1971; Ерусалимский Б. Л., Любе цк и и С. Г., Процессы ионной полимеризации, Л., 1974; Арест-Якубович А. А., "Успехи химии", 1981, т. 50, в. 6, с. 1141-67. А. А. Арест-Якубович.