АНТИДИАБЕТИЧЕСКИЕ СРЕДСТВА, понижают содержание сахара в крови. К ним относятся инсулин и препараты на его основе, а также производные сульфонилмочевины и бигуанидина. Для мед. целей применяют гл. обр. инсулин, получаемый из поджелудочных желез свиней и крупного рогатого скота. Разработаны методы биосинтеза инсулина человека. Инсулины разл. животных и человека неск. отличаются по иммунологич. св-вам. Важнейший показатель кач-ва препаратов инсулина-степень очистки от белковых примесей, гл. обр. от проинсулина.

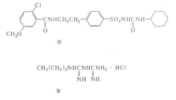
Препараты из группы сульфонилмочевины, напр. букарбан, бутамид (ф-ла I), хлорпропамид (II), глибенкламид (III), стимулируют сежрецию инсулинаhttps://www.pora.ru/image/encyclopedia/3/3/1/2331.jpeg клетками поджелудочной железы и тем самым вызывают понижение сахара в крови; в больших дозах они уменьшают также поступление глюкозы из печени. Препараты группы бигуанидина, напр. глибутид (IV), угнетают биосинтез глюкозы (глюконеогенез), усиливают анаэробную утилизацию ее мышечной тканью, тормозят всасывание сахара в кишечнике. А. с. применяют для лечения сахарного диабета.
https://www.pora.ru/image/encyclopedia/3/3/2/2332.jpeg

https://www.pora.ru/image/encyclopedia/3/3/3/2333.jpeg

Лит.: Лекарственные препараты, применяемые в эндокринологии, под ред. Н.Т.Старковой, М. И. Балаболкина, М., 1983, с. 28-59. Р.А. Альтшулер.