БЕНЗОПИРИЛИЯ СОЛИ (соли хромилия), содержат в молекуле катион бензопирилия структуры I или II. Хим. св-ва этих структур различны вследствие фенольного характера кислорода в I и кетонного - во II
https://www.pora.ru/image/encyclopedia/2/6/4/3264.jpeg

Соед. I не обменивает атом кислорода на др. гетеро-атомы и не превращ. в замещенные нафталина. Из его производных наиб. реакционноспособны соли со своб.https://www.pora.ru/image/encyclopedia/2/6/5/3265.jpegиhttps://www.pora.ru/image/encyclopedia/2/6/6/3266.jpeg положениями или содержащие в этих положениях функц. группы (Cl, OR и др.). Атака нуклеоф. агентов (метиленовые соед., эфиры фенолов, диалкиланилины, аминокислоты и др.) поhttps://www.pora.ru/image/encyclopedia/2/6/7/3267.jpegположению приводит к образованию аддукта III, новой соли бензопирилия IV или ее ангидроосновання V:
https://www.pora.ru/image/encyclopedia/2/6/8/3268.jpeg

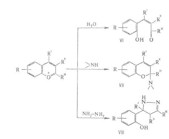
Присоединение нуклеофила вhttps://www.pora.ru/image/encyclopedia/2/6/9/3269.jpegположение обычно ведет к образованию о-гидроксихалконов (VI), аддуктов VII или VIII, напр.:
https://www.pora.ru/image/encyclopedia/2/7/0/3270.jpeg

Соед. I способны к димеризации через присоединившийся нуклеофил,https://www.pora.ru/image/encyclopedia/2/7/1/3271.jpeg иhttps://www.pora.ru/image/encyclopedia/2/7/2/3272.jpegалкильные группы либо непосредственно через гетерокольцо.

Для соед. II нуклеоф. присоединение идет вhttps://www.pora.ru/image/encyclopedia/2/7/3/3273.jpegположение с образованием после рециклизации новой гетероциклич. системы (IX) илиhttps://www.pora.ru/image/encyclopedia/2/7/4/3274.jpegпроизводных нафталина (X), реже - в положениеhttps://www.pora.ru/image/encyclopedia/2/7/5/3275.jpeg с образованиемhttps://www.pora.ru/image/encyclopedia/2/7/6/3276.jpegпроизводных нафталина, напр. (XI):
https://www.pora.ru/image/encyclopedia/2/7/7/3277.jpeg

1-Метилзамещенные II со своб.https://www.pora.ru/image/encyclopedia/2/7/8/3278.jpegположением легко образуют замещенные хризены, напр.:
https://www.pora.ru/image/encyclopedia/2/7/9/3279.jpeg

где R = Alk, Аг.

Общим для Б.с. обеих структур является существование в их р-рах равновесия между ионной формой и псевдооснованием, а при наличииhttps://www.pora.ru/image/encyclopedia/2/8/0/3280.jpeg илиhttps://www.pora.ru/image/encyclopedia/2/8/1/3281.jpegалкильных групп - ангидрооснованием, напр.:
https://www.pora.ru/image/encyclopedia/2/8/2/3282.jpeg

Получают Б. с. из соед., содержащих пирановый цикл, а также конденсационными методами, напр.:
https://www.pora.ru/image/encyclopedia/2/8/3/3283.jpeg

Полигидроксизамещенные I-структурные фрагменты антоцианов. Соед. II в природе не найдены.

Б.с. - ингибиторы коррозии, фото- и термохромы, сенсибилизаторы, люминофоры. Нек-рые Б. с. используются в синтезе изохинолиновых оснований и прир. алкалоидов.

Лит.: Джоуль Д., Смит Г., Основы химии гетероциклических соединений, пер. с англ., М., 1975; Щербакова И. В., Кузнецов Е. В., Химия гетероциклических соединений. 198Z № 4, с. 552-53; Коробка И. В.. Кузнецов Е. В.. там же, 1983, № 2, с. 274-81; Balaban А.Т. [а. о.]. Advances in hetcrocyclie chemistry, Suppl. 2, N.Y., 1982; Sham ma M., MoniotJ.-L. Isoquinoline alkaloids research. 1972-1977, N.Y.. 1978. Е.В.Кузнецов.