ВОЛЯ-ЦИГЛЕРА РЕАКЦИЯ, замещение атома Н в
положении
к связи С—С на атом Вг (аллильное бромирование) с помощью N-бромамидов
или N-бромимидов (обычно N-бромсукцинимида), напр.:
Р-цию проводят в кипящем СС14 в присут. бензоилпероксида
или 2,2'-азо-бис-изобутиронитрила. В.-Ц. р. применима к соед., у к-рых
двойная связь находится в гетероцикле (алкилзамещенных тиофена, фурана,
пиридина и др.), напр.:
Жирноароматич. соед. в присут. пероксидов бромируют-ся в боковую цепь,
а в присут. к-т Льюиса - в ядро, напр.:
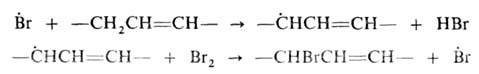
В.-Ц. р. осуществляется по радикальному механизму по схеме:

Следы НВг, необходимого для инициирования р-ции, всегда содержатся в бронирующем реагенте. Побочные процессы - аллильная перегруппировка и бромирование двойной связи с образованием насыщ. диброми-дов.
Активация
положения
может осуществляться не только двойной связью, но и нек-рыми функц. группами.
Поэтому аналогично В.-Ц. р. протекает бромирование кетонов (гл. обр. циклических),
ацеталей, простых эфиров, нитрилов и тиоэфиров, напр.:
В
ненасыщенных
кетонах, имеющих метиленовые группы в
положении
как к карбонильной группе, так и к двойной связи, напр. в
кетостероидах, бромируется преим. метиленовая группа в
положении
к двойной связи:
Р-ция открыта А. Волем в 1919. К. Циглер в 1942 усовершенствовал р-цию, предложив использовать в кач-ве бромирующего агента N-бромсукцинимид.
Лит.: Т е р е н т ь е в А. П., Яновская Л. А., в кн.: Реакции
и методы исследования органических соединений, кн. 6, М., 1957, с. 7-342;
Мачинская И. В., Бархаш В. А., там же, кн. 9, М., 1959, с. 287-381. Н.А.
Бумагин.