ЛАКТАМЫ (от лат. lac, род. падеж lactis - молоко), внутренние амиды аминокислот, содержащие в цикле группировку —С(О) — NR—, где R-H или орг. радикал. В зависимости от числа атомов в цикле различают a-Л. (3 атома), b-Л. (4), g-Л. (5) и т.д. По номенклатуре ИЮПАК, назв. Л. производят от назв. соответствующих гетероциклов. Допускается также наименование Л., основанное на назв. соответствующих алифатич. к-т с добавлением окончания "лактам". В этом случае место замыкания цикла указывается греч. буквой. Так, соед. I наз. 2-азетидинон, или b-пропиолактам, соед. II-2-пирролидон, или g-бутиролактам.

СВОЙСТВА НЕКОТОРЫХ ЛАКТАМОВ
https://www.pora.ru/image/encyclopedia/0/3/4/8034.jpeg
Л. - кристаллы; хорошо раств. в орг. р-рителях и воде (см. табл.); амфотерны. В р-рах существуют в виде ассоциатов вследствие образования водородных связей. ИК спектры Л. с 3-8 атомами в цикле имеют характеристич. полосы в области 3175-3220 (N—Н), 1700-1780 см-1 (С=О); для Л. с 9 и более атомами - в области 3220-3270 (N—Н) и 1680 см-1 (С=О). По хим. св-вам Л. во многом подобны амидам карбоновых кислот. Хим. превращения Л. могут происходить с раскрытием или без раскрытия цикла. К первой группе р-ций относятся кислотный и щелочнойгидролиз,
https://www.pora.ru/image/encyclopedia/0/3/5/8035.jpeg
взаимод. с аминами и гидроксиламином, алкоголиз, полимеризация:
https://www.pora.ru/image/encyclopedia/0/3/6/8036.jpeg
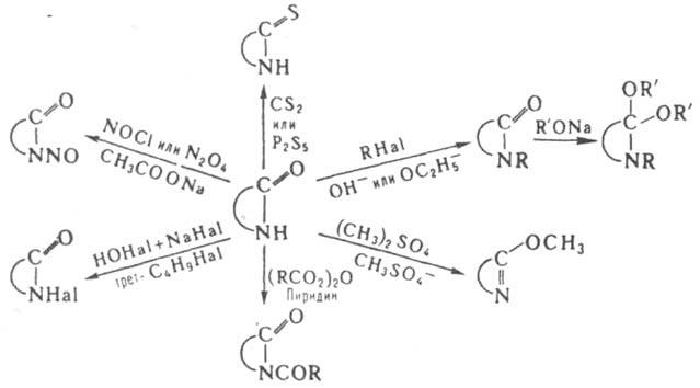
Условия проведения этих р-ций зависят от размера цикла, а также от кол-ва и положения заместителей в нем. наиб. устойчивы к действию нуклеоф. реагентов 5- и 6-членные Л., наименее - 3- и 4-члeнные. Л., замещенные по атому N, более устойчивы к действию нуклеоф. агентов, чем незамещенные. Полимеризация Л. протекает под действием катализаторов катионного и анионного типов; легче всего полимеризуются 7-9-членные Л. Лактамный цикл не раскрывается в р-циях алкилирования, ацилирования, галогенирования, нитрозирования и при разл. превращ., в к-рых участвует карбонильная группа, напр.:
https://www.pora.ru/image/encyclopedia/0/3/7/8037.jpeg
Л., замещенные по атому N, алкилируются по соседнему с карбонильной группой атому С, напр.:
https://www.pora.ru/image/encyclopedia/0/3/8/8038.jpeg
При окислении пероксидисульфатами, орг. надкислотами или Н2О2 в присут. ионов переходных металлов Л. превращ. в циклич. имиды, напр.:
https://www.pora.ru/image/encyclopedia/0/3/9/8039.jpeg
Под действием разл. восстановителей (АlН3, ВН3, LiAlH4 и др.) Л. превращ. в циклич. амины; при восстановлении NaBH4 необходимо предварительно превратить амидную группу в соль О-этиллактима:
https://www.pora.ru/image/encyclopedia/0/4/0/8040.jpeg
Восстановление напряженных 3- и 4-членных циклов сопровождается расщеплением амидной связи, напр.:
https://www.pora.ru/image/encyclopedia/0/4/1/8041.jpeg
Общие методы синтеза Л.: 1. Внутримол. циклизация аминокислот и их эфиров:
https://www.pora.ru/image/encyclopedia/0/4/2/8042.jpeg
Последние генерируют in situ восстановлением к-т и сложных эфиров, имеющих нитро- или нитрильную группу, а также восстановит. аминированием кетокислот и нек-рыми др. способами, напр.:
https://www.pora.ru/image/encyclopedia/0/4/3/8043.jpeg
2. Расширение цикла кетонов Бекмана перегруппировкой или Шмидта реакцией; используется гл. обр. для пром. синтеза e-капролактама, а также для получения Л. с числом атомов в цикле >9. 3-членные Л. синтезируют из a- и N-галогенамидов под действием оснований или из N-неопентилиден-трет-бутиламина с участием дихлоркарбена, напр.:
https://www.pora.ru/image/encyclopedia/0/4/4/8044.jpeg
Осн. методы получения 4-членных Л. - конденсация кетенов с иминами, циклизация эфиров b-аминокислот под действием реактивов Гриньяра, взаимод. иминов с эфирами a-галогенокислот (Реформатского реакция), напр.:
https://www.pora.ru/image/encyclopedia/0/4/5/8045.jpeg
Др. методы синтеза этих Л.: дегидрогалогенирование N-a-галогенациламиномалоновых эфиров в присут. катализаторов основного характера; обработка амидов b-галогенкарбоновых к-т амидом калия; взаимод. b,b-дизамещенных енаминов с арилизоцианатами. 2-Пирролидон и его замещенные м.б. синтезированы след. образом:
https://www.pora.ru/image/encyclopedia/0/4/6/8046.jpeg
Для синтеза Л. с числом атомов в цикле >5 используют след. р-ции:
https://www.pora.ru/image/encyclopedia/0/4/7/8047.jpeg
Мн. Л. - биологически активные в-ва; в частности, b-Л. входят в состав лактамных антибиотиков. В пром-сти Л. используют гл. обр. для произ-ва полиамидных волокон. Кроме того, Л. - неокрашивающие антиозонанты для натурального и синтетич. каучуков, компоненты нек-рых детергентов для стирки полиэфирных тканей; водные р-ры noлu-N-вuнилnuppoлuдoнa- заменители плазмы крови. См. также 1-Винил-2-пирролидон, N-Метилпирролидон. Лит.: Общая органическая химия, пер. с англ., т. 4, М., 1983; Rodd's chemistry of carbon compounds, 2 ed., ed. by S. Cofley, v. 1, pt A-D, Arnst., 1964-65. A. M. Сахаров.