МЕТИНОВЫЕ КРАСИТЕЛИ
(полиметиновые красители), содержат в молекуле метиловые группы —СН= (свободные
или замещенные), образующие цепь сопряженных двойных связей с нечетным числом
углеродных атомов между концевыми электронодонорной и электроноакцепторной группами.
Последние могут обмениваться зарядом, передавая его по цепи сопряжения (т.е.
заряд делокализован). В зависимости от заряда молекулы в целом М.к. подразделяют
на катионные (ф-ла I), анионные (II) и нейтральные (нейтроцианины;III):

Практич. значение в пром-сти
имеют в осн. катионные и нейтральные М.к.
Строение М.к. разнообразно,
классификация их сложна. В зависимости от числа метиновых групп в открытой цепи
различают моно-, ди-, ..., полиметинцианиновые красители, в зависимости от числа
виниленовых групп (—СН=СН—) - карбоцианиновые красители (одна группа), ди-,
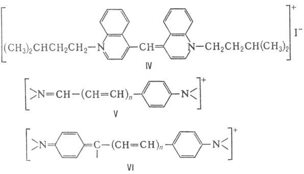
трикарбоцианиновые и т.д. По названию первого синтезированного М.к. "цианин"
(от греч. цианос-синий; ф-ла IV) долгое время все М.к. называли цианино-выми.
С появлением разнообразных типов М.к. это наименование осталось только для группы
красителей, содержащих на обоих концах метиновой цепи ароматич. гетероциклы
(напр., как у красителя IV). Наименования почти всех прочих групп образуют прибавлением
к слову цианиновый (или цианин) приставки, характеризующей их отличия. Так,
гемицианинами называют М.к., у к-рых только один концевой атом азота включен
в ароматич. гетероцикл. М.к., у к-рых несущие заряд концевые атомы непосредственно
связаны с метиновой цепью, как в ф-лах I-III, наз. стрептоцианиновыми. Если
между метиновой цепью и одной концевой группой включено ароматич. кольцо, то
эти фенилоги стрептоцианинов относят к аминоариленаминовым красителям (ф-ла
V), а если и второй концевой атом отделен арилом,-то к ди- или триарил-метановым
красителям и их винилогам (VI; см. также Арилметановые красители).

Число метиновых групп указывают
приставкой к групповому названию красителя, напр. монометинцианиновый, диметингемицианиновый,
полиметинцианиновый. Нульме-тиновыми (или апоцианиновыми) наз. такие гемицианино-вые
красители, у к-рых фенильная группа непосредственно примыкает к азотсодержащему
гетероциклу, напр. синий краситель (ф-ла VII).
К М.к. относятся также
красители, у к-рых одна или неск. групп —СН= заменены атомами —N=, поскольку
при такой замене сохраняются сопряжение связей, делокализация заряда и обусловленные
этим физ.-хим. характеристики. В групповые наименования красителей тогда включают
приставки моно-аза-, диаза- и т.д.

Помимо указанной классификации,
отдельные группы М.к. иногда наз. исходя из хим. признаков, напр. гидра-зоновые,
триазеновые.
М. к. могут иметь любые
цвета (от желтых до зеленых), отличаются яркими оттенками (т.е. у них узкие
спектральные полосы поглощения). Цвет зависит от структуры, а в каждом из типов
он углубляется при удлинении метиновой цепи, а также часто при замене групп
—СН= на атомы —N=.
Для всех М.к. характерна высокая интенсивность окраски: молярный коэф. экстинкции
у простейших представителей 30 000, а при удлинении цепи может достигать 250
000, причем он имеет наиб. значения у симметричных красителей, т.е. содержащих
одинаковые концевые группы.
М.к. устойчивы к действию
восстановителей, а при обработке окислителями разрушаются. К-тами обесцвечиваются
вследствие протонирования донорной группы, причем при нейтрализации окраска
восстанавливается. Под действием щелочей могут образовываться карбинольные основания,
к-рые в большинстве случаев нестабильны и разлагаются с расщеплением метиновой
цепи; при щелочных обработках более стабильны М.к. с короткими метиновыми цепями.
Высокой светостойкостью обладают гл. обр. нуль-, моно-, ди- и триметиновые красители.
Ниже перечислены наиб.
практически важные группы катионных М. к. (приведены простые примеры, назван
цвет красителя; в ф-лах не указаны сопутствующие анионы): енаминовый (желтый;
VIII); гидразоновый (желтый; IX); триазеновый (желтый; X); фенилоги гемицианиновых,
среди к-рых нульметиновый (синий; VII) и стириловый (розовый; XI), диазастириловый
(синий; XII); триметинцианиновые и их азааналоги [напр., розовый (XIII) и желтый
(XIV)]:


Среди нейтральных практич.
значение имеют красители как с открытыми концевыми группировками (ф-ла XV),
так и с циклическими (т. наз. мероцианиновые; XVI).

Известны также нейтроцианины,
содержащие сульфогруп-пы, что позволяет применять их как кислотные красители,
или имеющие в боковой цепи четвертичную аммониевую группу (их используют как
катионные красители).
Получают М.к. взаимод.
активной метиленовой (или метильной) группы одного компонента с карбонильной
группой второго компонента. В качестве первого компонента чаще всего используют
основание Фишера (ф-ла XVII; R = Н), циануксусный эфир либо малонодинитрил,
индолы, ароматич. амины, 2-метилпроизводные бензотиазола и бенз-имидазола, а
в качестве второго - альдегид Фишера (XVIII; R = Н) или др. гетероциклич. альдегиды,
N-алкилнафтости-рил (XIX), N,N-диалкиламинобензальдегиды.

Ди- или триазаметиновые
красители синтезируют азосочетанием
с послед. алкилированием образовавшегося азосоединения, моноазаметиновые
красители - взаимод. нитрозосоединений с перечисленными
выше соединениями, содержащими активную метиленовую
группу. Мн. катионные М. к. используют для крашения полиакри-лонитрильного
волокна, имеющего в составе полимера кислотные группы. Введение таких групп
в полиэфиры и полиамиды позволяет применять для крашения соответствующих волокон
нек-рые типы катионных М.к. (в частности, гемицианиновые) и получать светостойкие
окраски. Катионные М.к. используют также для крашения натуральной кожи, приготовления
чернил, штемпельных красок и копировальных бумаг (см. также Катионные красители).
Кар-бинольные основания, образующиеся при действии щелочей на нек-рые катионные
М.к., используют в виде микрокапсул в произ-ве бесцв. копировальных бумаг.

Нейтроцианиновые красители
нерастворимы в воде; их применяют как дисперсные красители для крашения
полиэфирных, полиамидных и ацетатных волокон, а также разл. пластмасс.
Почти все М.к. сообщают
галогеносеребряным фотогра-фич. эмульсиям дополнит. чувствительность в области
видимых или ИК лучей (вплоть до 1500 нм). Это определило их большую роль как
оптич. сенсибилизаторов в фотографии. Максимум сенсибилизации обычно приходится
на лучи с длиной волны несколько большей, чем максимум поглощения самого красителя
(см. также Сенсибилизация оптическая).
Нек-рые монометинцианины
и их азааналоги - оптич. отбеливатели, т. к. они бывают бесцветны и довольно
сильно флуоресцируют.
Стириловые красители, получаемые
конденсацией гетеро-циклов, содержащих активную метиленовую группу (напр., ф-лы
XVII) с o-гидроксибензальдегидами, в щелочной среде переходят в бесцв.
спиропираны:

Эти красители используют
в произ-ве бесцв. копировальных бумаг. При произ-ве таких бумаг на их пов-сти
наносят микрокапсулы из очень тонких пленок, заполненных бесцв. формой красителя,
а также каолин, силикагель или др., обладающие слабокислыми св-вами. Под мех.
воздействиями капсулы раздавливаются и бесцв. форма красителя переходит в окрашенную.
Подобные спиропираны, содержащие вместо аминогруппы нитрогруппу, фотохромны:
окраска возникает при УФ облучении и исчезает в темноте (быстрее при натр.):

Их применяют в составе
пленок, используемых в устройствах для фотозаписи информации (см. Фотохромизм).
Лит.: Венкатараман
К., Химия синтетических красителей, пер. с англ., т. 2, Л., 1957, с. 1305-56;
т. 4, Л., 1975, с. 163-319; Киприанов А. И., Вер-бовская Т. М., "Ж. орган.
химии", 1965, т. 1, в. 1, с. 13-20; Степанов Б. И., Введение в химию и
технологию органических красителей, 3 изд., М., 1984, с. 105—27; Ullmanns Encyklopadie,
4 Aufl., Bd 16, Weinheim, 1978, S. 635-69.
И. А. Троянов.