МОЛЕКУЛЯРНЫЕ ИНТЕГРАЛЫ
в квантовой химии, название интегральных выражений (интегралов), к-рые используются
для записи в матричной форме электронного ур-ния Шрёдингера, определяющего электронные
волновые ф-ции многоэлектронной молекулы (мол. системы). Подынтегральными ф-циями
в М. и. являются атомные или мол. орбитали (волновые ф-ции) отдельных электронов
либо орбитали, преобразованные теми операторами, к-рые входят в оператор Гамильтона
и соответствуют определенным физ. величинам (напр., потенциалу взаимод. электронов,
дипольному моменту и др.). Интегрирование производят по всему объему, в к-ром
вероятность обнаружения каждого электрона, определяемая интегралом по этому
объему от произведения его волновой ф-ции j на комплексно-сопряженную величину
j*, равна 1. М. и. обычно имеют следующий вид:

(т. наз. о д н о э л е
к т р о н н ы е и н т е г р а л ы) либо

(т. наз. д в у х э л е
к т р о н н ы е и н т е г р а л ы). В этих выражениях ja(1),
jb(1), jс(2) и jd (2) - атомные
или мол. орбитали, зависящие от переменных первого (1) или второго (2) электрона,
dt1 и dt2-элементы объема
для этих электронов,
- одноэлектронный, а
- двухэлектронный операторы, к-рые зависят от переменных соотв. одного или двух
электронов и действуют на волновые ф-ции jb(1) и jb(1)jd(2)
(см. Квантовая механика).
Классификация одно- и двухэлектронных
М. и. связана с видом подынтегральных ф-ций и операторов. Так, в простейшем
случае, когда
-единичный
оператор (умножение на единицу), т.е., по существу, в интеграле (1) оператор
отсутствует, получающийся одноэлектронный М. и. называют и н т е г р а л о м
п е р е к р ы в а н и я орбиталей jа(1) и jb(1).
По значению интегралов перекрывания атомных орбиталей часто судят о прочности
хим. связи между атомами А и В, если ja(1) и jb(1)-
атомные орбитали, соответствующие этим атомам. Если
= — Zce2/R1c-oпepaтор потенциальной энергии
взаимод. электрона 1 и ядра С, заряд к-рого Zc (R1c-расстояние
между электроном 1 и ядром С), соответствующий М. и. называют интегралом электрон-я
д е р н о г о в з а и м о д е й с т в и я. К числу одноэлектронных
М. и. относят также интегралы кинетич. энергии,
интегралы дипольного момента и др.
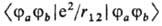
В выражениях для двухэлектронных
М. и. наиб. часто встречается оператор кулоновского отталкивания электронов
1 и 2, т.е.
(1,
2) = е2/r12, где r12-расстояние
между электронами. При этом М. и. вида

наз. кулоновскими. Они
соответствуют классич. элект-ростатич. взаимодействию двух зарядов, один из
к-рых распределен в пространстве с плотностью rа(1) = j*a(1)
х х ja(1), а другой-с плотностью rb (2)
= jb* (2) jb (2). Если переставить индексы
а и b у ф-ций, следующих за символом оператора e2/r12,
получаются М. и. вида

к-рые наз. о б м е н н
ы м и. Появление обменных М. и. в выражениях для энергии и для др. св-в многоэлектронных
мол. систем связано с принципом Паули и не имеет аналогии в классич. теории
(см. Обменное взаимодействие).
М. и. различают также по
локализации орбиталей jа, jb,... Если эти
орбитали локализованы у одного из атомных ядер молекулы (или в области между
ядрами), т.е. если они относятся к одному центру (ядру или к.-л. точке в пространстве
между ядрами), то М. и. наз. одноцентровыми; если ja относится
к центру А, а jb-к центру В, говорят о д в у х ц е н т р о
в ы х М. и., и т.д. При этом в число центров включаются и те, от переменных
к-рых зависят также операторы А(1)или В(1,2); так, если A(1)-упомянутый
выше оператор потенциальной энергии взаимод. электрона 1 с ядром С, то это ядро
также считается центром для М. и.
Нек-рые М. и. с одинаковыми
названиями имеют разл. смысл в разных квантовохим. методах. Так, в методе Хюкке-ля
резонансными М. и. наз. ненулевые недиагональные матричные элементы эффективного
одноэлектронного гамильтониана (см. Молекулярных орбиталей методы), а
в полуэмпирических методах типа методов полного пренебрежения дифференц.
перекрыванием резонансные М. и.-лишь такие слагаемые недиагональных матричных
элементов фо-киана, к-рые при конкретных расчетах заменяются на те или иные
комбинации эмпирич. параметров. В валентных связей методе обменными М.
и. наз. матричные элементы
двухэлектронного гамильтониана H(1,
2) в базисе атомных орбиталей, что отличается от выражения (3) для обменных
М. и. в методах мол. орбиталей.
Расчет М. и. всегда представлял
собой одну из важнейших вычислит. проблем квантовой химии, к-рая стала особенно
острой в связи с развитием и широким применением неэмпирических методов.
Для упрощения вычислений проводят поиск оптимальных базисных ф-ций, к-рые
позволяют получать наиб. простые ф-лы для расчета М. и. В частности, для многоатомных
молекул оптимальными базисными ф-циями оказались орбитали гауссова типа (см.
Орбиталъ). Еще более трудная проблема - рост числа М. и. с увеличением
кол-ва базисных орбиталей: если число последних - М, то число М. и. превышает
М4/8. При М
102 приходится рассчитывать 107-108 М. и. Поскольку
обычно мол. системы рассматривают в адиабатическом приближении, требующем
вычислений в отдельности для каждой фиксированной геом. конфигурации ядер, а
число таких конфигураций для многоатомных молекул достаточно велико даже при
описании локальных участков поверхности потенциальной энергии, то становится
ясным, какие трудности связаны с расчетами М. и. или пересчетом на каждом шаге
итераций. Именно из-за этих трудностей активно разрабатывают полуэмпирич. методы,
основанные, напр., на полном или частичном пренебрежении дифференц. перекрыванием.
В подобных методах число М. и. увеличивается с ростом числа М базисных
ф-ций не быстрее, чем М2. В полуэмпирич. методах используют
модельные представления, согласно к-рым отдельные М. и: либо нек-рые их комбинации
рассматривают как параметры, имеющие определенный физ. смысл. Подобный подход
позволяет наглядно интерпретировать расчетные результаты и сопоставлять их для
разных мол. систем.
Лит. см. при ст.
Квантовая химия. Н. Ф. Степанов.