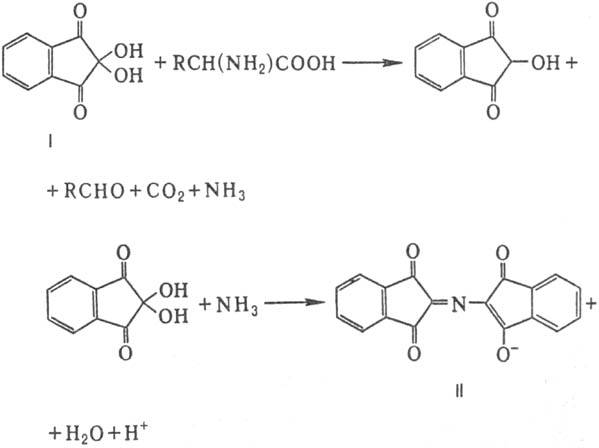
НИНГИДРИНОВАЯ РЕАКЦИЯ,
цветная р-ция на a-аминокислоты, к-рую осуществляют нагреванием последних
в щелочном р-ре избытка нингидрина (гидрата 1,2,3-ин-дантриона, ф-ла I):

Образующееся соед. II имеет
фиолетово-синюю окраску (lмакс 570 нм). Пролин и гидроксипролин,
у к-рых нет a-аминогруппы, в р-ции с нингидрином образуют производное желтого
цвета (l.макс 440 нм). Н. р. неспецифична, т. к. окрашенный продукт
с нингидрином дают также NH3 и др. соед., содержащие аминогруппу
(в т.ч. белки и пептиды). Однако р-ции с этими соед. осуществляются без выделения
СО2 (Н.р. с выделением СО2 специфична только для a-аминокислот).
Р-цию используют для колориметрич.
количеств. определения a-аминокислот, в т. ч. в автоматич. аминокислотных анализаторах.
Лит.: Ленинджер
А., Основы биохимии, пер. с англ., т. 1, М., 1985, с. 126-27 П. Д. Решетов.