ПИРИДИН, мол. м.
79,1; бесцв. жидкость со специ-фич. запахом; т. пл. -42,70C, т. кип.
115,4°С/760 мм рт. ст., 13,2°С/10ммрт.ст.;
0,9819:
1,5095; m 7,30 х х 10-30 Кл·м; g 3,7· 10-2 Н/м
(250C); h 0,885 мПа·с (250C); Сp 135,62
кДж/моль·K) (170C),
— 2783 кДж/моль. Смешивается во всех отношениях с водой и большинством орг.
р-рителей; с водой
образует азеотропную смесь (т. кип. 940C, 58% по массе П.).

П.-основание (рКа
5,20). С неорг. к-тами образует устойчивые соли, с алкилгалогенидами -пиридиния
соли, с гало-генидами металлов, SO2, SO3, Br2,
H2O-комплексные соединения. Характерные производные: (C5H5N·HCl)2·PtCl2
(т. пл. 262-2640C, с разл.), C5H5N·HCl·2HgCl2
(т пл. 177-1780C).
Обладает ароматич. св-вами;
содержит 6p-электронов, образующих единую замкнутую систему, в к-рой из-за отрицат.
индукц. эффекта атома N электронная плотность у атомов С, особенно в положениях
2, 4 и 6, понижена (p-дефицитный гетероцикл).
Электроф. замещение протекает
с большим трудом (П. по способности к электроф. замещению близок к нитробензолу)
и идет в положение 3. Большинство этих р-ций протекает в кислой среде, в к-рой
исходным соед. является уже не сам П., а его соль. П. нитруется лишь под действием
NaNO3 или KNO3 в дымящей H2SO4 при
т-ре 300 0C, образуя с небольшим выходом 3-нитропиридин; сульфируется
олеумом в присут. сульфата Hg при 220-2700C до пиридин-3-суль-фокислоты.
При действии на П. ацетата ртути при 1550C образуется 3-пиридилмеркурацетат;
при более высоких т-рах-ди- и полизамещенные производные. Действие Br2
в олеуме при 3000C приводит к смеси 3-бром- и 3,5-дибром-пиридинов.
При более высокой т-ре (ок. 5000C) р-ция идет но радикальному механизму;
продукты р-ции - 2-бром- и 2,6-дибромпиридины. К радикальным р-циям относится
и взаимодействие П. с фенилдиазонийгидратом (р-ция Гом-берга-Бахмана-Хея), в
результате чего образуется смесь, содержащая 55% 2-фенил-, 30% 3-фенил- и 15%
4-фенил-пиридина.
Нуклеоф. замещение в П.
протекает по положениям 2 и 4 и легче, чем в бензоле, напр, синтез 2-аминопиридина
при взаимодействии П. с амидом натрия (см. Чичибабина реакция).
П., как правило, устойчив
к окислителям, однако при действии надкислот легко образует N-оксид пиридина
(см. Аминов N-оксиды) в к-ром электронная плотность на атомах
С-2 и С-4 повышена по сравнению с П. При 300 0C под действием FeCl3
П. окисляется в смесь изомерных дипири-дилов общей ф-лы C5H4N—C5H4N.
Каталитич. гидри-рование в присут. Pt или Ni, восстановление Na в спирте, а
также электрохим. восстановление приводит к пиперидину (последний способ применяется
в пром-сти). Более жесткое восстановление П. сопровождается расщеплением цикла
и дезаминированием.
Присоединение карбенов
к П. или депротонирование ионов N-алкилпиридиния приводит к илидам пиридиния
общей ф-лы I, взаимодействие П. с нитренами или депротонирование солей N-аминопиридиния
- к иминам пиридиния общей ф-лы II.

Соед. обоих типов легко
вступают в р-ции циклоприсоеди-нения, характерные для 1,3-диполярных систем.
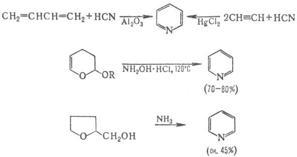
П. выделяют гл. обр.
из кам.-уг. смолы (содержание ок. 0,08%), продуктов сухой перегонки дерева,
торфа или кости. Синтетически он м. б. получен след. р-циями:

П. и его производные-основа
пиридиновых алкалоидов, а также мн. лек. ср-в. Используют П. также в
синтезе красителей, инсектицидов, применяют для денатурации спирта. Комплекс
П. с SO3-пиридинсульфотриоксид-мягкий сульфирующий агент; C5H5NBr2·HBr-бромирующий
агент; C5H5N · HCl-реагент для дегидратации эпоксидов
и N-деал-килирования, C5H5N·H2Cr2O7-окислитель.
П.-хороший р-ритель, в т.ч. для мн. неорг. солей (AgBr, Hg2Cl2
и др.). ПДК паров П. в воздухе ~ 0,005 мг/л, т. воспл. 23,3 0C.
П. впервые выделен T. Андерсеном
в 1849 из костяного масла; структура П. установлена Дж. Дьюаром и P. Кернером
в 1869.
О производных П. см. Лутидины,
Оксипиридины, Пико-лины, Пиридиния соли.
Лит.: Общая органическая
химия, пер. с англ., т. 8, M., 1985, с. 15-117; Pyridine and its derivatives.
Suppl. ed. by R. A. Abramovitch, pt 1-4, N. Y., 1974; Pyridine and its derivatives,
ed by E. Klingsberg, pt 1-4, L. - N. Y. - Sydney, 1960-64. Л. H. Яхонтов.