ПОЛИУРЕТАНЫ, гетероцепные
полимеры, содержащие незамещенные и(или) замещенные уретановые группы —N(R)—С(О)О—
(R = Н, алкил, арил или ацил). Кол-во уретановых групп зависит от мол. массы
П. и соотношения исходных компонентов. В зависимости от природы последних в
макромолекулах П. могут содержаться и др. функц. группы: простые эфирные и сложноэфирные
(полиэфир-уретаны), мочевинные (полиуретанмочевины), изоциан-уратные (полиуретанизоцианураты),
амидные (поли-амидоуретаны), двойные связи (полидиенуретаны), к-рые наряду с
уретановой группой определяют комплекс св-в полимеров. Известны линейные и сетчатые
П., а также уретансодержащие взаимопроникающие полимерные сетки и уретанфункцион.
олигомеры.
Получение. Осн.
традиц. способ синтеза П., используемый в пром-сти,-взаимод. соединений, содержащих
изоцианат-ные группы, с би- и полифункцион. гидроксилсодержащими производными:

R-алкилен, арилен; R'-алкилен,
остаток олигогликолей, полиэфиров
При эквимолярном соотношении
двух бифункцион. компонентов синтеза образуются линейные П. Однако получение
П., не содержащих поперечных связей, не представляется возможным из-за высокой
реакц. способности изоцианатной группы по отношению к любым соед. и группам,
содержащим активный атом водорода (вода в компонентах и окружающей среде, уретановые
группы в образующейся цепи). Поэтому т. наз. линейные П. следует рассматривать
как слаборазветвленные полимеры.
Сетчатые П. получаются
в след. случаях: 1) по крайней мере один из компонентов синтеза имеет функциональность
более двух (образуются уретановые поперечные связи); 2) наряду с двумя основными
компонентами синтеза используют агенты удлинения и структурирования (строение
хим. поперечных связей определяется природой агентов структурирования:
в случае триодов образуются уретановые группы, в присут. воды, диаминов - биуретовые,
карбоксилсодер-жащих соед.- амидные, серы - полисульфидные); 3) в макромолекулы
П. в ходе синтеза вводят функц. группы, содержащие активный атом водорода, напр.
мочевинные, и используют изоцианатный компонент в избытке по отношению к гидроксилсодержащему
(биуретовые поперечные связи); 4) проводят циклотримеризацию изоцианатных групп
в присут. специфич. катализаторов, в результате чего образуется узел сшивания
- изоциануратный цикл:

Таким образом получают
полиуретанизоцианураты.
Менее распространен синтез
П. из биохлорформиатов гликолей (низкомолекулярных или олигомерных) и диаминов:

R-алкилен, остаток олигомера;
R'-алкилен, арилен Скорость р-ции высока; однако из-за выделения НС1 и необходимости
применения акцепторов для его связывания широкое практич. применение этого способа
ограничено. Этим способом получают N-замещенные П. (напр., из пиперазина), отличающиеся
более высокой тепло- и морозостойкостью, чем их незамещенные аналоги.
Замещенные П. могут быть
получены также ацетилирова-нием незамещенных линейных П. уксусным ангидридом
в р-ре (кат.-хлорная к-та):

В основе синтеза т. наз.
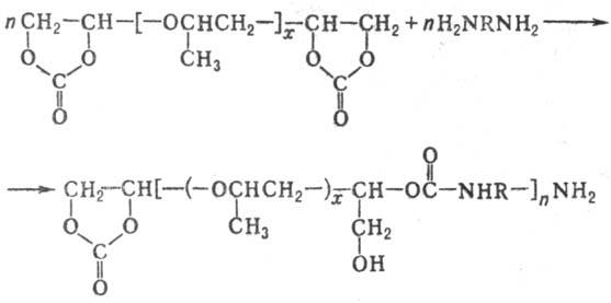
безизоцианатных П. лежат нетрадиционные р-ции уретанообразования. Напр., полиоксипро-пиленгидроксиуретаны
получают из олигомеров пропилен-оксида, содержащих концевые циклокарбонатные
группы (мол. м. 800-2000), и алифатич. диаминов:

Таким способом получают
П. принципиально иного строения с новыми св-вами (в данном случае-с повыш. стойкостью
к действию щелочей и высоких т-р), чем традиционные П. на основе полиоксипропиленгликолей.
Уретансодержащие взаимопроникающие
полимерные сетки (ВПС) получают из разветвленных или сетчатых П. и полимеризующихся
мономеров или реакционноспособных олигомеров. Напр., сетчатый П. подвергают
сначала набуханию
в стироле или олигоэфиракрилате, а затем-полимеризации и(или) отверждению. Св-ва
ВПС неаддитивны св-вам индивидуальных полимеров, их составляющих (см. также
Сетчатые полимеры).
Уретанфункцион. олигомеры
получают взаимод. изо-цианатсодержащих форполимеров (см. ниже) с соединениями
НО—R'—f, где f- функц. группа, напр. эпоксидная, метакрилатная, пероксидная;
R'-алкилен. Напр., для синтеза олигоуретанэпоксидов используют глицидол:

Такие олигомеры способны
отверждаться теми же отверди-телями, что и их аналоги, не содержащие уретановых
групп. Продукты для получения П. 1. Изоцианаты: толу-илендиизоцианаты (2,4-
и 2,6-изомеры или их смесь в соотношении 65:35), 4,4'-дифенилметан-, 1,5-нафтилен-,
гекса-метилендиизоцианаты, полиизоцианаты, трифенилметан-триизоцианат, биуретизоцианат,
изоциануратизоцианаты, димер 2,4-толуилендиизоцианата, изоцианаты блокированные
(см. также Изоцианаты). Перечисл. диизоцианаты используют
для синтеза всех типов П., полиизоцианаты-для получения жестких пенополиуретанов
и лакокрасочных покрытий, биурет- и изоциануратизоцианаты-гл. обр. для получения
лакокрасочных покрытий, трифенилметантриизо-цйанат-в осн. для сшивания относительно
низкомолекулярных П., содержащих концевые группы ОН, в двухупако-вочных клеевых
композициях, блокир. диизоцианаты-в одноупаковочных. Строением диизоцианата
определяются скорость уретанообразования, прочностные показатели, свето- и радиац.
стойкость, жесткость П.
2. Гидроксилсодержащие
компоненты: 1) олигогликоли -продукты (мол. м. 1000-5000) гомо- и сополимеризации
ТГФ, пропилен- и этиленоксидов (полиоксиалкиленглико-ли), дивинила, изопрена
(олигодиендиолы); 2) сложные полиэфиры с концевыми группами ОН-линейные продукты
поликонденсации адипиновой, фталевой и др. дикарбоновых к-т с этилен-, пропилен-,
бутилен- или др. низкомол. глико-лями; разветвленные продукты поликонденсации
перечисл. к-т и гликолей с добавкой триолов (глицерина, триметилол-пропана),
продукты полимеризации е-капролактона. Гидроксилсодержащий компонент определяет
в осн. комплекс физ.-мех. св-в П.
3. Агенты удлинения и структурирования
цепей: 1) гидро-ксилсодержащие - вода, гликоли, оксиэтилир. дифенилол-пропан,
моноаллиловый эфир глицерина, касторовое масло; 2) диамины -4,4'-метилен-бис-(о-хлоранилин),
фенилен-диамины и др. Природой этих агентов определяются мол. масса линейных
П., густота вулканизац. сетки и строение поперечных хим. связей, возможность
образования доменных структур (см. ниже) и, как следствие, комплекс св-в П.
и их назначение (пенопласты, волокна, эластомеры и т.д.).
4. Катализаторы р-ций:
1) уретанообразования-третичные амины, хелатные соед. Fe, Си, Be, V, нафтенаты
Рb и Sn, октаноат (октоат) и лауринат Sn; 2) циклотримеризации -неорг. основания;
комплексы третичных аминов с эпокси-дами.
5. Прочие: в-ва, используемые
для повышения стабильности сложноэфирных П. к щелочному гидролизу (карбо-диимиды),
эмульгаторы, стабилизаторы изоцианатных групп при хранении полиуретановых форполимеров-гало-генангидриды
карбоновых к-т.
В пром-сти синтез П. осуществляют
в одну или две стадии, чаще всего в массе, реже-в р-ре.
Первый этап процесса-сушка
гидроксилсодержащего компонента в вакууме (80-110 °С, остаточное давление
0,7-1,3 кПа) в аппаратах, снабженных рубашкой и быстроходной мешалкой, а также
в роторно-пленочных аппаратах, спец.
пленочных сушилках, имеющих сопла, через к-рые подается нагретый до 150°С
азот.
При одностадийном методе
кроме гидроксилсодержащих соед. и диизоцианатов в аппарат одновременно вводят
агенты удлинения и структурирования; процесс ведут при 20-100 °С до исчерпания
изоцианатных групп, кол-во к-рых в начале р-ции практически находится в эквимолярном
соотношении с суммой гидроксильных и др. функц. групп компонентов, содержащих
активный атом водорода (вода, спирты, гликоли, карбоксилсодержащие соед.). При
этом протекает ряд последовательно-параллельных р-ций. Поэтому этим методом
получают в осн. сильно сшитые пено-пласты, лакокрасочные покрытия, а также относительно
низкомолекулярные, преим. линейные, волокнообразующие П. и пластмассы.
Для более четкого разделения
процессов удлинения цепи и сшивания используют двустадийный метод, при к-ром
на первой стадии синтезируют т. наз. изоцианатный фор-пол и мер, содержащий
концевые изоцианатные группы (мол. м. 1000-5000; молярный избыток изоцианатных
групп к гидроксильным - не менее 2). Процесс осуществляют, как правило, периодич.
способом в аппаратах с мешалкой при 80-110 °С в присут. катализатора в атмосфере
инертного газа. Контроль р-ции ведут по убыли изоцианатных групп, кол-во к-рых
по сравнению с первоначальным должно уменьшиться не более чем в 2 раза.
На второй стадии проводят
взаимод. форполимера с агентами удлинения (при синтезе линейных П.) или удлинения
и структурирования при 20-100°С. При этом используют чаще всего эквимолярное
соотношение между изоци-анатными группами форполимера и суммой активных атомов
Н агентов удлинения и структурирования. На этой завершающей стадии синтеза при
получении линейных П. расплав полимера выдавливают из аппарата и после охлаждения
блоки гранулируют (получают термоэластопласты, пластики) или подвергают вальцеванию
(каучуки). При проведении процесса в р-рителе р-ры полимеров сливают в емкости
для послед. переработки (клеи, р-ры для формования волокон).
По др. способу при синтезе
сетчатых П. в массе как по одно-, так и двустадийной технол. схеме получают
жидкую реакц. массу путем интенсивного смешения компонентов в литьевых машинах
разл. типа, снабженных дозирующими устройствами. Смесительные камеры машин представляют
высокоэффективные перемешивающие устройства с числом оборотов до 30 тыс. в 1
мин; время пребывания реакц. массы в камере не превышает 5-10 с. Полученную
массу сливают в формы требуемой конфигурации, где и завершается "реакц.
формование", т. е. получение изделий (пенопластов, эластомеров).
Свойства. Линейные П.-твердые
аморфные или кристаллизующиеся полимеры; мол. м. (10-50)·103; практически
полностью раств. в высокополярных (ДМФА, ДМСО, про-пиленкарбонат) или протоноакцепторных
(диоксан, ТГФ) р-рителях. Сетчатые П. ограниченно набухают в этих р-рителях;
их св-ва определяются не только строением исходных компонентов, но и густотой
пространств. сетки (степенью сшивания). Уретанфункцион. олигомеры-вязкие жидкости
(вязкость от сотен до неск. тысяч пуаз); мол. м. 1000-5000; раств. во многих
орг. р-рителях.
Св-ва П. обусловлены наличием
взаимодействий специ-фич. характера (водородные связи, связи ионного типа) и
неспецифического (диполь-дипольных, ван-дер-ваальсовых взаимод., а также кристаллизацией),
суммарный вклад к-рых в формирование комплекса св-в П. является определяющим.
При образовании водородных
связей донорами протонов служат атомы Н уретановых групп, в случае полиуретан-мочевин
и полиамидоуретанов - атомы Н соответствующих функц. групп; акцепторами протонов
являются карбонилы перечисл. групп, а также сложноэфирных групп в случае полиэфируретанов
и простые эфирные связи в случае П., полученных на основе полиоксиалкиленгликолей.
Уретановые, мочевинные
и др. группы, имеющиеся в структуре П., участвуют также в диполь-дипольных взаимодействиях.
В результате проявления сил специфич. межмол. взаимодействия в структуре П.
возникают ассоциаты, т. наз. доменные образования, термодинамически не совместимые
с массой основных цепей полимеров, но связанные с ними химически. Вследствие
такой несовместимости происходит микрофазное расслоение (микросегрегация) на
надмолекулярном уровне. При этом фаза, образованная ассоциатами, является своеобразным
усиливающим "активным наполнителем" в П. В частности, этим объясняется
возможность получения на основе П. материалов, обладающих высокими конструкц.
св-вами (прочностью, твердостью, сопротивлением раздиру), без введения активных
наполнителей.
В случае полиуретанмочевин
домены-циклич. образования типа I. В т. наз. сегментированных П. (блокполи-уретанах),
синтезированных из изоцианатных форполиме-ров, при получении к-рых соотношение
изоцианатных и гидроксильных групп составляло больше 2, и эквимоляр-ного кол-ва
низкомол. диола (агент удлинения цепи), доменные структуры образуются вследствие
высокой концентрации блоков соседних уретановых групп (тип II). В ионо-мерах,
т. наз. катионных П., доменные структуры, образуются в виде четвертичных аммониевых
соединений (тип III):


Все межмол. взаимод. играют
также роль "физ." поперечных связей. Усиливающие эффекты, обусловленные
наличием доменных структур, проявляются только в совокупности: 1) с взаимодействиями
неспецифич. характера, напр. с появлением кристалличности (использование кристаллизующихся
алифатич. диизоцианатов и диолов для получения волокнообразующих П. и нек-рых
термоэластопластов); 2) с сильным когезионным взаимод. ароматич. диолов (использование
ароматич. полиэфиров и диолов для получения термоэластопластов); 3) с наличием
хим. поперечных связей (литьевые П.-пенопласты, эластомеры, клеи и лакокрасочные
покрытия).
Сильные межмол. взаимод.
определяют и специфику пространств. сетки П.: будучи образована только "физ."
поперечными связями (термоэластопласты, пластмассы, волокна), она обеспечивает
св-ва квазисетчатых материалов (высокая прочность при комнатной т-ре, твердость
и др.). Для получения высоких прочностных показателей у не-наполненных П., способных
функционировать при повыш. т-рах, необходима смешанная пространств. сетка из
"физ." и хим. поперечных связей, причем кол-во последних должно
быть невелико. В противном случае хим. связи будут препятствовать
своб. конформации цепей П. и соответственно реализации сил межмол. взаимодействий.
Наличие межмол. взаимодействий
определяет и особенности релаксац. поведения П. С одной стороны, это существ.
снижение мех. показателей при многократных воздействиях нагрузок из-за частичного
разрушения "физ." связей, в т. ч. под воздействием развивающихся
т-р, с другой - равновесный характер лабильных "физ." связей, способность
их вследствие этого к перераспределению и восстановлению после снятия нагрузки
и периода "отдыха"; этим объясняется регенерация св-в П., что особенно
проявляется в случае пенопластов.
Достоинства П., определившие
быстрое развитие их произ-ва (особенно во вспененной форме): 1) полимеры этого
класса обладают уникальным комплексом св-в: высокой прочностью и твердостью
в ненаполненном состоянии в сочетании с эластичностью, масло- и бензостойкостью,
хорошей адгезией к широкому кругу материалов, радиац. стойкостью и, наконец,
исключительно высоким сопротивлением истиранию, по величине к-рого П. превосходят
большинство известных полимеров.
2) Варьирование природы
исходных компонентов и простое изменение их соотношения позволяет относительно
легко получать широкий ассортимент материалов - пластиков, эластомеров, волокон,
пенопластов. Теми же путями можно варьировать и способы переработки П.: т. наз.
реакц. формование, или реакц.-инжекц. формование (производят литьевые, пенопласты
и эластомеры); литье под давлением (термоэластопласты, волокна); на стандартном
оборудовании резинотехн. пром-сти (т. наз. вальцуемые уретановые эластомеры).
3) Технически ценные вспененные
П. получают, как правило, не путем введения порофоров или применения газов,
а в результате взаимод. изоцианатных компонентов с водой, карбоксилсодержащими
полиэфирами или др.; при этом создаются благоприятные условия для формирования
макроструктуры пеноматериала одновременно с хим. р-циями его образования.
Недостатки П.: невысокая
стойкость при повыш. т-рах и к действию щелочей, накопление остаточных деформаций
под действием длит. нагрузок, резкая зависимость физ.-мех. св-в от перепадов
т-ры.
Применение. Линейные
П. используют как пластич. массы, полиуретановые волокна, термоэластопласты,
для получения искусств. кож, клеев (см. Клеи синтетические), вальцуемых
П. Сетчатые П. используют как пенополиуретаны, уретановые эластомеры, лаковые
покрытия (см. Полиуретановые лаки), герметики. Полиуретановые иономеры
применяют для получения латексов, используемых в лакокрасочной пром-сти, для
приготовления клеев, произ-ва электропроводящих материалов, в медицине.
Уретановые ВПС-основа усиленных
каучуков, ударопрочных пластиков, спец. клеев, лаков, вибро- и шумо-защитных
материалов. Уретанофункцион. олигомеры-заливочные отверждаемые компаунды; их
применяют также для приготовления клеев, получения лакокрасочных покрытий. "Безизоцианатные"
П. применяют при изготовлении полов пром. зданий и сооружений.
Крупнейшие потребители
П.: автомобилестроение (до 25% всего объема произ-ва), изготовление мебели (до
20%), стр-во (16%), в произ-ве холодильников (9%), остальное-с. х-во, электроника,
обувная пром-сть, произ-во товаров культурно-бытового назначения.
Мировое произ-во П. ок.
3,5 млн. т (1986); из них на долю пенопластов приходится до 87%.
Крупнейшие производители
П.: США, Канада (до 37% общего объема выпуска), Зап. Европа (до 42%), Япония
(12%), остальные страны (10%).
П. впервые получены в Германии
в 1937 О. Байером с сотрудниками.
Лит.: Липатов Ю.
С., Керча Ю.Ю., Сергеев Л. М., Структура и свойства полиуретанов, К., 1970;
Райт П., Камминг Л., Полиуретановые эластомеры, пер. с англ., Л., 1973; Энциклопедия
полимеров, т. 3, М., 1977, с.
63-70; Композиционные материалы на основе полиуретанов, пер. с англ., под ред.
Дж. М. Бьюиста, М., 1982; Любартович О. А., Морозов Ю. Л., Третьяков О. Б.,
Реакционное формирование полиуретанов, М., 1990; Advances in urethane science
and technology, ed. by K.. C. Frisch and S. L. Reegen, v. 1 -4, Stamford, 1971-76;
Frisch K.C., "Popular Plastics", 1986, v. 31, № 3, p. 17-21; UTECH'
86: Polyurethane industry's international conference. The Hague, March 18-20,
1986, v. 4-7, L., 1986. ' Л.Я. Раппопорт.