ТЕТРАГИДРОФОЛАТДЕГИДРОГЕНАЗА
(5,6,7,8-тетра-гидрофолат: НАДФ оксидоредуктаза, дигидрофолатредук-таза), фермент
класса оксидоредуктаз, катализирующий восстановление дегидрофолиевой к-ты (Н2-фолат)
в тетра-гидрофолиевую (Н4-фолат; ф-лу фолиевой к-ты см. в ст. Фолацин):
НАДФН + Н2-фолат
: НАДФ + Н4-фолат
НАДФН и НАДФ соотв. восстановленная
и окисленная формы кофермента никотинамидадениндинуклеотид-фосфата.
Т. из нек-рых источников
катализирует медленное восстановление фолиевой к-ты в Н4-фолат. Фермент
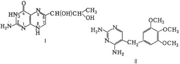
катализирует также восстановление 7,8-дигидробиоптерина (ф-ла I) в 5,6,7,8-тетрагидробиоптерин.

Фермент содержится в тканях
животных и растений, а также в микроорганизмах. Т.-обычно мономер с мол. массой,
колеблющейся (в зависимости от источника) в пределах от 18 до 20 тыс. В составе
бактериофага Т4 фермент находится в виде димера с мол. м. 44,5 тыс.
Предпочтительным донором
атомов H в р-циях, катализируемых Т., служит НАДФН; сродство Т. к никотинамидадениндинуклеотиду
(НАДН) на порядок ниже. Комплекс Т. НАДФН имеет более высокое сродство к Н2-фолату
и фолиевой к-те, чем своб. фермент. Т. имеет две области рН, при к-рой возрастает
его активность,-одна при рН 4, другая (менее выраженная) при рН 7,2-7,4. Первичная
структура Т. из разл. источников отличается незначительно; вторичная структура
Т. и ее роль во взаимод. с субстратами и ингибиторами хорошо изучены.
Активность Т. в лейкозных
и др. злокачеств. клетках значительно выше, чем в нормальных клетках. Ингибиторы
Т. (метотрескат и его аналоги; см. Противоопухолевые средства)применяют
для лечения острых лейкозов, злокачеств. опухолей и псориаза. Др. ингибитор
Т. (триметоприм, II) в комбинации с метотрескатом используют для лечения тяжелых
инфекц. заболеваний.
Лит.: Blackley R.L.,
в кн.: Folates and pterins, v. 1, Chemistry and biochemistry of folates,
ed. by R.L. Blackley and S.J. Benkovic, N.Y., 1984.
Ю. В. Букин.