ТИРОЛИБЕРИН [тиреотрогош-рилизинг-фактор(гормон)],
пептидный гормон гипоталамуса. Молекула Т. (мол. м. 362) состоит из остатков
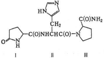
трех аминокислот -пироглутаминовой (ф-ла I), гистидина (II) и пролинамида (III).

Видовых различий структура
Т. не имеет. В организме животных и человека Т. синтезируется в гипоталамусе,
попадает через воротную вену в гипофиз и стимулирует в этой железе синтез и
секрецию тиреотропного гормона, к-рый, в свою очередь, регулирует
секрецию иодсодержащих гормонов тироксина и трииодтиронина щитовидной
железой. Т. оказывает также стимулирующее действие на секрецию гипофизом гормонов
пролактина и соматотропина.
Механизм действия Т. на
клетки гипофиза включает активацию системы аденилатциклаза - циклический адено-зинмонофосфат.
Во взаимодействии Т. с клеточными рецепторами важная роль принадлежит имидазольному
кольцу гистидина.
Т. синтезируется также
вне гипоталамуса - в мозге, желудочно-кишечном тракте и др. органах и тканях
и может оказывать влияние на их деятельность. Действие Т. на центр. нервную
систему может проявляться в определенных поведенческих р-циях. Поскольку Т.
найден в разл. отделах центр. и периферич. нервной системы и влияет на ее ф-ции,
его относят к группе нейропептидов.
В плазме крови и тканях
Т. подвергается быстрой ферментативной инактивации. Период полужизни Т. в плазме
крови человека составляет ок. 4 мин.
Путем хим. синтеза получены
многочисл. высокоактивные структурные аналоги Т., среди к-рых пептиды с большей
продолжительностью действия, а также со св-вами физиол. антагонистов Т. Синтезированы
и изучаются разл. аналоги Т. с нейротропной активностью.
Синтетич. препараты Т.
применяют в медицине.
Лит.: Биохимия гормонов
и гормональной регуляции, М., 1976; Эндокринология и метаболизм, пер. с англ.,
т. 1-2, М., 1985. А. А. Булатов.