ФОРМАЗАНЫ, содержат
в молекуле азогидразонную группировку
(указан порядок нумерации для замещенных Ф.). Незамещенный Ф. неизвестен. Наиб.
распространены 1,5-ди- и 1,3,5-тризамещенные Ф; Ф.,
имеющие разные заместители в положениях 1 и 5, существуют в таутомерных формах
(ф-лы I и П):

Ф. проявляют амфотерные
св-ва. Так, 1,5-диарилформаза-ны ArN = NCH = NNHAr благодаря легкости диссоциации
связи N-H обладают слабокислыми св-вами (для 1,5-дифе-нилформазана рКа
16,5), в сильнокислых средах наличие атомов N обусловливает протонирование
Ф. как оснований.
Одна из наиб. важных р-ций
Ф.- окисление их с образованием тетразолиевых солей (III; окислители - амилнитрит
с HCl, тетраацетат свинца, N-бромсукцинимид, хлор и др.). При восстановлении
тетразолиевых солей амальгамой Al и про-пиофеноном в основных и кислых средах
образуются своб. радикалы - тетразолилы (IV; последние присутствуют в неочищенных
образцах Ф. и тетразолиевых солей):

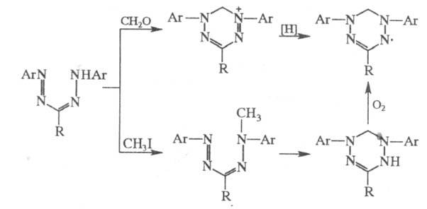
Конденсация Ф. с алифатич.
альдегидами в присуг. к-т или оснований приводит к образованию вердазилиевых
ионов, к-рые избытком альдегида в щелочной среде восстанавливаются до вердазилъных
радикалов. Последние м. б. получены также алки-лированием Ф. первичными
алкилгалогенидами или диалкилсу-льфатом с послед, циклизацией образующихся N-алкилформа-занов
в лейковердазилы и окислением O2 воздуха:

При действии на Ф. восстановителей
(сульфид аммония, дитионит Na, фенилгидразин, меркаптаны, LiAlH4)
сначала восстанавливается азогруппа с образованием карбогидразиди-на, а затем
происходит разрыв связи N-N и образуются амидразоны:

1,3,5-Тризамещенные Ф.
алкилируются (арилируются) с образованием N-алкил(арил)производных. Ф., замещенные
в положении 3 на Cl, Br, NO2 и др., вступают в р-цию с нуклеоф. реагентами,
давая соответствующие продукты замещения. 1,5-Дизамещенные Ф. аминометилируются
по атому С в условиях Манниха реакции.
При действии галогенов
на 1,5-диарилформазаны происходит замещение водорода метиновой группы с одновременным
галогенированием фенильных фрагментов. При нитрозирова-нии образуются С-нитрозопроизводные,
существующие в стабильной арилазооксимной форме:

Ф. образуют с металлами
(Cu2+, Co3+, Ni2+ и др.) ярко окрашенные комплексные
соединения. Осн. способ
получения 1,3,5-тризамещенных Ф.- взаимод. диазониевых соед. с гидразонами альдегидов
е щелочной среде:

Ф. могут быть получены
окислит. сочетанием производных гидразина (обычно N-замещенных производных бензимидазо-лилгидразина)
со спиртами, альдегидами или гетарилгидразо-нами альдегидов либо взаимод. арилгидразинов
с хлор- или нитрогидразонами; действием на соед., содержащие активные метильную,
метиленовую или метиновые группы, катионов арил- или гетарилдиазония, напр.:

Ф. применяют в качестве
аналит. реагентов, напр. дитизон, цинкон и др. Соли тетразолия используют
в биол. исследованиях в качестве акцепторов электронов для индикации окислит.-восстановит.
процессов. Комплексы Ф. с металлами -красители текстильных и др. материалов.
Так, Co-комплекс ф-лы V дает оливковые (R = R' = NO2), черные и серые
окраски (R = R' = Cl или R = NO2, R' = Cl); комплекс ф-лы VI окрашивает
шерсть, шелк и полиамидные волокна в темно-синий цвет.


Металлокомплексы формазановых
красителей выпускают в Польше под назв. польфаланы.
Лит.: Химия формазанов, M., 1992. А. А. Дудинов, Б. И. Степанов.