ХИНОФТАЛОНОВЫЕ КРАСИТЕЛИ, группа красителей на основе хинофталона, или хинолинового желтого (ф-ла I). X. к. имеют чистую зеленовато-желтую окраску; при действии на них CH3ONa в СН3ОН или H2SO4 образуют соли красного цвета.
X. к. получают конденсацией 2-метилхинолина (хинальдина; II) или его производных с ангидридами ароматич. орто-дикарбоновых к-т в расплаве при 200-220 °С в присут. ZnCl2 или в орг. р-рителе (напр., о-дихлорбензоле) при 180 °С без катализатора; образующиеся производные изохинофталона (III) перегруппировываются в хинофталон (показана наиб. вероятная таутомерная форма):

https://www.pora.ru/image/encyclopedia/3/6/3/16363.jpeg

При сульфировании I образуются кислотные X. к., содержащие группы SO3H в положениях 5-8; из-за низкой устойчивости к свету эти красители и лаки на их основе потеряли свое значение.
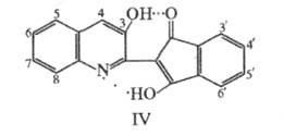
Большей устойчивостью к свету, а также более интенсивной окраской обладают производные 3-гидроксихинофталона (IV). Последние получают взаимод. 3-гидроксихинальдин-4-карбоновой к-ты с офталевым ангидридом; образующаяся З-гидроксихинофталон-4-карбоновая к-та декарбоксилируется в условиях р-ции.

https://www.pora.ru/image/encyclopedia/3/6/4/16364.jpeg

Краситель IV благодаря способности легко возгоняться широко применяют в термопереводной печати, он также ограниченно пригоден в качестве дисперсного красителя, однако, при крашении полиэфирного волокна по нек-рым совр. способам, требующим нагревания до ~ 200 °С, неприменим из-за сублимации в условиях крашения. Для повышения устойчивости к сублимации IV бромируют в положение 4 (4-бром-З-гидроксихинофталон - один из самых ценных желтых дисперсных красителей) либо используют IV, замещенные в индандионовом фрагменте на разл. заместители, напр. атомы галогена в положениях З'-6', алкоксикарбонильную или карбамоильную группу в положении 4' (для синтеза этих соед. применяют соответствующие производные фталевого ангидрида).
В качестве зелено-желтых пигментов используют соед. ф-лы V, содержащие фталимидный (или тетрагалогенфталимидный) остаток. Их получают взаимод. 8-аминохинальдина с фталевым ангидридом или его тетрагалогенпроизводным.

https://www.pora.ru/image/encyclopedia/3/6/5/16365.jpeg

Несмотря на ограниченность цветовой гаммы X. к. сохраняют практич. значение благодаря простоте синтеза и хорошим колористич. св-вам.

Лит.: Венкатараман К., Химия синтетических красителей, ч. 2, Л., 1957, с. 1367-71.

Л. В. Аринич.